振動測試
振動:
振動是機械系統中運動量的相對給定的參考系,隨時間變化的量值與其平均值相比時大時小交替變化的現象。振動太大給設備本身造成部件過早老化,降低性能及壽命,增大噪音的危害;對使用者來說強烈的振動能從振動工具傳導到操作者的手和臂,並通過手和臂傳導到臂膀,身體部位振動和感覺到的振動是人頻繁感到不適的根源,不但降低了操作的熟練程度,操作者如果使用此類設備,則對引發血脈、神經、骨骼、關節、肌肉或聯接手和前臂的細胞組織等疾病有緊密關係。
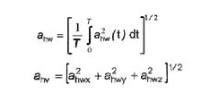
振動強度的評判是規定頻率範圍內振動位移(um)、振動速度(mm/s),以及振動加速度(m/s2)來表示;
振動的測量需要三個方向進行,以電動工具為例其振動方向的直角坐標系為:

振動計算公式:









